rQ MagSi-DNA Plant CLS

Pre-filled Magnetic Beads and Binding Buffer: rQ Plant CLS Binding Plate

Plant DNA markers can be used to identify desirable traits in crops, such as disease resistance, drought tolerance, and increased yield. This allows for more efficient breeding and the production of higher quality crops.

Our pre-filled version of the MagSi-DNA Plant CLS kit, the rQ MagSi-DNA Plant CLS, allows fast and cost-effective extraction of DNA from any plant tissue type. CLS stands for Cotyl, Leaf and Seed, which are the most commonly used sample types in Plant Breeding.

The prefilled rQ kit contains all the components necessary to optimize your specific DNA extraction procedure, with regards to yield, purity, and working volumes. The kit has been tested with many different plant species.

After evaluation and finding the ideal set of reagents for your DNA extraction workflow, we can offer a unique, customized, pre-filled version of the key components: the magnetic beads and the binding buffer in the rQ Plant CLS Binding Plate for PurePrep or KingFisherTM, or in your specific extraction plates.

Features

Advantages of using rQ MagSi-DNA Plant CLS

  • Eliminate all beads handling issues
  • Save time and costs on reagent addition
  • Save costs on beads mixing equipment
  • Increase instrument capacity
  • Environmentally friendly

General features

  • Kit is especially designed for workflow efficiency
  • Contains 2 lysis buffers for different samples in 1
  • extraction procedure
  • Preparation time for 96 samples: 25 min. after lysis
  • High yields and excellent DNA purity
  • Suitable for downstream applications such as SNP genotyping by PCR or NGS

Table 1. Overview of plant species tested (not exhaustive)

Technical data

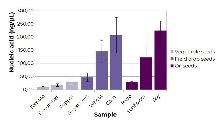
Figure 1. DNA concentrations extracted from vegetable, field crop and oil seeds, measured by UV-VIS with the NanoDropTM One. The data are presented as mean (n=3, ±1 SD).

Figure 2. DNA purity ratios for tomato, cucumber, pepper, corn, sugar beet, wheat, rape, sunflower and soybean seeds obtained by UV-VIS with the NanoDropTM One. High purity ratios are measured for all seeds. Data are presented as mean (n=3, ±1 SD).

Figure 3. PCR results from extracted vegetable, field crop and oil seed DNA with primers targeting the tRNA-leucine gene. The data are presented as mean (n=3, ±1 SD).

Resources

Resource
Language
Manual - MagSi-DNA Plant CLS
> EN
Magtivio catalog
> EN

Order information

* All kit components except lysis buffers provided pre-filled in 96 DeepWell plates for PurePrep 96 / KingFisherTM Flex 96

** Pre-filled binding plate contains beads and binding buffer suited for PurePrep 96 / KingFisherTM Flex 96

Request sample